Skip to content
This repository was archived by the owner on Jul 25, 2023. It is now read-only.

Nayuta403/fps_monitor

Folders and files

NameName
Last commit message
Last commit date

Latest commit

 

History

21 Commits
 
 
 
 
 
 
 
 
 
 
 
 
 
 
 
 
 
 
 
 

Repository files navigation

已适配 null-safe ,对应版本:2.0.0

导语:

对于任何一款应用而言,页面的流畅度一定是影响用户体验最重要的几个指标之一。作为开发者,优化页面流畅度也是自己技术实力的体现。但在决定进行优化之前,还有两个更重要的问题摆在我们面前:1、如何发现卡顿的页面?2、如何衡量我的优化效果?

为了解决这两个问题,本期给大家带来一个很有意思的小工具:fps_monitor


一、What's this 这是个什么工具?

首先一句话告诉你:这是一个能在 profile/debug 模式下,直观帮助我们评估页面流畅度的工具!! 直白来说就是:这是一个可以在(刷新率60)设备上直接查看最近(默认 100)帧的表现情况的小工具,直接上图:

当我们点击右下角的 ⏯ 后,按钮变为⏸ 状态,工具开始为我们收集每一帧的总耗时(包含 CPU 和 GPU 耗时)。此时点击 ⏸ 按钮会为我们展示收集到的耗时信息

image.png

柱状图顶部为我们展示收集到的数据里:最大耗时平均耗时、以及总耗时(单位:毫秒)

在下方,我将页面流畅度划为了四个级别:流畅(蓝色)良好(黄色)轻微卡顿(粉色)卡顿(红色),将 FPS 折算成一帧所消耗的时间,不同级别采用不一样的颜色,统计不同级别出现的次数。

上面的例子中,我们可以看到,工具一共收集了 99 帧,最大耗时的一帧花了119ms,平均耗时:32.9 ms,总耗时:3259.5 ms。其中认为有 40 帧流畅,25 帧良好,38 帧轻微卡顿,6 帧卡顿。


二、Why you need this 为什么你需要这个工具?

1、为什么我没选择 PerformanceOverLay 和 DoKit?

看到上面的功能可能有人有疑惑,你这功能咋和 PerformanceOverLay 这么类似?

首先,我在使用 PerformanceOverLay 的时候遇到了一点问题:

image.png

如图,PerformanceOverLay 上分别为我们展示了构建(UI)耗时和渲染(GPU)耗时。

我遇到的第一个问题是,因为我们在判断流畅度的时候,往往是看一帧的总耗时。这样拆分之后,一帧的耗时变成了上下的和,对我而言很不直观。

其次,这里面提供最大耗时或者平均耗时并不能很好的帮助我们量化页面的流畅程度。因为这个统计过程,会直接将一帧的耗时进行平均,这就带来一个问题。我们知道对于60刷新率的设备,两帧的间隔时间最小应该是 16.7ms,而 PerformanceOverLay 的收集过程没有对数据过滤,会出现一帧耗时小于 16.7ms,这就导致平均数据可能偏低。(下图平均一帧耗时为:10.6ms 60HZ设备) image.png

其实这样来看,DoKit是一个不错的选择

image.png

但DoKit同样没有对最小帧耗时做过滤,也会出现平均耗时偏低的情况。同时,没有更多的数据辅助评估页面的流畅程度。

上面我遇到的情况,不一定是问题,只是我在使用过程中觉得不太直观,不太方便。

因此开发了这个工具,该工具具有以下特点

image.png

同时支持设置最大采集帧数

2、我是如何理解页面流畅度

我在上一期ListView流畅度翻倍!!Flutter卡顿分析和通用优化方案有解释过

对于大部分人而言,当每秒的画面达到60,也就是俗称60FPS的时候,整个过程就是流畅的。

一秒 60 帧,也就意味着平均两帧之间的间隔为 16.7ms。那么耗时大于 16.7ms 就会觉得卡顿么?

答案当然是 NO。腾讯在 Martrix 中也提到

我们平时看到的大部分电影或视频 FPS 其实不高,一般只有 25FPS ~ 30FPS,而实际上我们也没有觉得卡顿。 在人眼结构上看,当一组动作在 1 秒内有 12 次变化(即 12FPS),我们会认为这组动作是连贯的

其实流畅度本身就是一个很主观的东西,就好比有人觉得打王者荣耀不开高帧率好像也还算流畅,有人觉得不开高帧率那不就是个GIF图么。

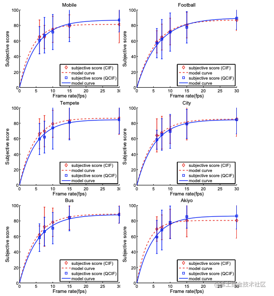
有没有客观一点的指标,我在网上查询了很久之后找到了一篇08年发表在ICIP上的论文Modeling the impact of frame rate on perceptual quality of video 他们使用了6种内容进行测试,实验结果如下图所示

image.png

通过该图我们可以看出,当帧率大于15帧的时候,人眼的主观感受差别不大,基本上都处于较高的水平。而帧率小于15帧以后,人眼的主观感受会急剧下降。换句话说,人眼会立刻感受到画面的不连贯性。

因此,在工具中我将低于16.7ms的数据统一成16.7ms,所以这个检测工具只在刷新率为60的设备有意义。并且将流畅度划分为了以下等级:

  • 流畅:FPS大于55,即一帧耗时低于 18ms
  • 良好:FPS在30-55之间,即一帧耗时在 18ms-33ms 之间
  • 轻微卡顿:FPS在15-30之间,即一帧耗时在 33ms-67ms 之间
  • 卡顿:FPS低于15,即一帧耗时大于 66.7ms

并统计出现的次数,你可以根据这几项数据,对比优化前后的数据,得出性能的提升情况;当然也可以制定一个理想的流畅度。例如:流畅的帧数占统计帧数的90%,或者卡顿的帧数不超过5次。


三、How to use it 如何使用?

1、项目依赖

dependencies: fps_monitor: ^1.12.13-1

2、接入工程

有两处接入点

  • 指定overLayState ,因为需要弹出一个Fps的统计页面,所以当前指定overLayState。 (PS:大家一般使用Navigator.of(context)去跳转一个页面,通过GlobalKey可以实现无context的跳转)

image.png

///声明NavigatorState的GlobalKey
GlobalKey<NavigatorState> globalKey = GlobalKey();
///获取overLayState
  SchedulerBinding.instance.addPostFrameCallback((t) =>
    overlayState =globalKey.currentState.overlay
    );
///指定MaterialApp的navigatorKey  
navigatorKey: globalKey,
  • 在build属性中包裹组件

image.png

builder: (ctx, child) =>
          CustomWidgetInspector(
            child: child,
          ),

3、如何使用

在完成了上述步骤之后,你只需要启动app,该工具只会在profile/debug模式下集成,在你的右下角会出现一个 ⏯ 按钮,点击开始记录,再次点击显示数据。

Screenrecording_20210405_171133.gif

如果想要结束采集,点击面板中的停止监听即可。

如果你想采集更多的帧,可以通过kFpsInfoMaxSize设置

Screenrecording_20210405_171154.gif

4、Warning:

空安全之前 请使用 1.12.13-2 分支 空安全后 使用 2.0.0 分支


四、how do it 来点原理?

可能你会对这个工具的检测原理感兴趣,那咱们再来唠两句原理。

绘制数据的获取

 WidgetsBinding.instance.addTimingsCallback(monitor);

Flutter 会在每帧完成绘制后,会将耗时进行回调。耗时体现在三个变量上:1、构建时间;2、绘制时间;3、总时间。当你点击 ⏯ 按钮的时候,工具便开始采集耗时信息。

其实对于 Flutter 相关的渲染调度,推荐大家看看 SchedulerBinding ,里面写得再详细不过。

显示Fps界面

显示 Fps 的页面比较简单,直接通过 OverlayState 插入即可。如果你不太熟悉 Overlay 可以把它理解成浮窗。其中的表格绘制通过使用 DoKit 的自定义画笔实现,当然也可替换成各种开源的图表库。


最后 感谢各位吴彦祖和彭于晏的点赞,Start,和Follow

如果你觉得这个工具还不错,点个赞支持一下吧~

最后附上我的:

掘金主页:Nayuta

欢迎搜索公众号:进击的Flutter或者runflutter 里面整理收集了最详细的 Flutter 进阶与优化指南。关注我,获取我的最新文章~

1361617636891_.pic.jpg

如果使用过程有问题可以直接通过公众号私信我~

About

屏幕流畅度检测工具

Topics

Resources

License

Stars

Watchers

Forks

Releases

No releases published

Packages

No packages published